Calculate Standard Deviation [1]
As an experimenter, it's important to be able to calculate the standard deviation, because this is the parameter that defines the way data is centered about the mean.
The standard deviation is the square root of the variance [4]. Thus the way we calculate standard deviation is very similar to the way we calculate variance.
In fact, to calculate standard deviation, we first need to calculate the variance, and then take its square root.
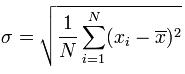
Standard Deviation Formula
The standard deviation formula is similar to the variance formula. It is given by:

σ = standard deviation
Xi = each value of dataset
x̄ ( = the arithmetic mean [5] of the data (This symbol will be indicated as the mean from now)
N = the total number of data points
∑ (Xi - x̄)2= The sum of (Xi - x̄)2 for all datapoints
For simplicity, we will rewrite the formula:
σ = √[ ∑(x - mean)2 / N ]
This to minimize the chance of confusion in the examples below.
Standard Deviation Calculation Example (for Population)
As an example to calculate standard deviation, consider a sample of IQ scores given by 96, 104, 126, 134 and 140.
Try it yourself [6]
Write out the formula.
σ = √[ ∑(x - x̄)2/ N ]
How many numbers are there (N)?
There are five numbers.
σ = √[ ∑(x - x̄)2/ 5 ]
What is the mean?
The mean of this data is (96 + 104 + 126 + 134 + 140 ) / 5 = 120.
σ = √[ ∑(x - 120)2/ 5 ]
What are the respective deviations from the mean?
The deviation from the mean is given by 96 -120 = -24; 104 - 120 = -16; 126 - 120 = 6; 134 - 120 = 14 and 140 - 120 = 20.
σ = √[ ((-24)2+(-16)2+(6)2+(14)2+(20)2) / 5 ]
σ = √[ ((96 - 120)2+(104 - 120)2+(126 - 120)2+(134 - 120)2+(140 - 120)2) / 5 ]
Square and sum the deviations:
The sum of their squares is given by (-24)2 + (-16)2 + (6)2 + (14)2 + (20)2 = 1464.
σ = √[ (576 + 256 + 36 + 196 + 400) / 5 ]
σ = √[ (1464) / 5 ]
σ = √[ ((-24)x(-24)+(-16)x(-16)+(6)x(6)+(14)x(14)+(20)x(20)) / 5 ]
Divide by the number of scores (minus one if it is a sample, not a population):
The mean of this value is given by 1464 / 5 = 292.8. The number in between the brackets is the variance [4] of the data.
σ = √[292.8]
Square root the total:
To calculate standard deviation, we take the square root √(292.8) = 17.11.
σ = 17.11
We can now see that the sample standard deviation is larger than the standard deviation for the data.
Interpretation of Data
Calculation of standard deviation is important in correctly interpreting the data. For example, in physical sciences, a lower standard deviation [7] for the same measurement implies higher precision for the experiment.
Also, when the mean needs to be interpreted, it is important to quote the standard deviation too. For example, the mean weather over a day in two cities might be 24C. However, if the standard deviation is very large, it may mean extremes of temperature - very hot during the day and very cold during the nights (such as in a desert. On the other hand, if the standard deviation is small, it means a fairly uniform temperature throughout the day (such as in a coastal region).
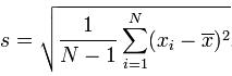
Standard Deviation for Samples
Just as in the case of variance, we define a sample standard deviation when we are dealing with samples rather than populations. This is given by a slightly modified equation:

where the denominator is N - 1 instead of N in the previous case. This correction is required to get an unbiased estimator for the standard deviation.
Example of Standard Deviation of Samples
This follows the same calculation as the example above, for standard deviation for population, with one exception: The division should be "N - 1" not "N".
σ = √[ ∑(x - mean)2 / (N - 1) ]
Then it follows the same example as above, except that there is a 4 where there was a 5.
Write the formula.
σ = √[ ∑(x - mean)2 / (N - 1) ]
How many numbers are there (N)?
There are five numbers.
σ = √[ ∑(x-mean)2 / (5-1) ]
σ = √[ ∑(x-mean)2 / 4 ]
What is the mean?
The mean of this data is (96 + 104 + 126 + 134 + 140) / 5 = 120.
σ = √[ ∑(x-120)2 / 4 ]
What are the respective deviations from the mean?
The deviation from the mean is given by 96 - 120 = -24; 104 - 120 = -16; 126 - 120 = 6; 134 - 120 = 14 and 140 - 120 = 20.
σ = √[ ((-24)2+(-16)+(6)2+(14)2+(20)2) / 4 ]
σ = √[ ((96 - 120)2+(104-120)+(126-120)2+(134-120)2+(140-120)2) / 4 ]
Square and sum the deviations:
The sum of their squares is given by (-24)2 + (-16)2 + (6)2 + (14)2 + (20)2 = 1464.
σ = √[ (576 + 256 + 36 + 196 + 400) / 4 ]
σ = √[ (1464) / 4 ]
σ = √[ ((-24)x(-24)+(-16)x(-16)+(6)x(6)+(14)x(14)+(20)x(20)) / 4 ]
Divide by the number of scores minus one (minus one since it is a sample, not a population):
The mean of this value is given by 1464 / 4 = 366. The number in between the brackets is the variance [4] of the data.
σ = √[366]
Square root the total:
To calculate standard deviation, we take the square root √(366) = 19.13.
σ = 19.13
